Comets sorted in numerical order:      
 1/Halley    2/Encke    3/Biela    4/Faye  
 5/Brorsen    6/d'Arrest    7/Pons-Winnecke    8/Tuttle  
 9/Tempel1    10/Tempel2    11/Tempel-Swift-LINEAR    12/Pons-Brooks  
 13/Olbers    14/Wolf    15/Finlay    16/Brooks2  
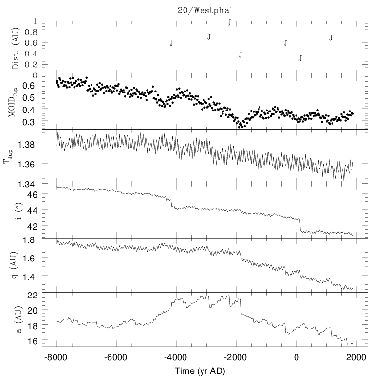
 17/Holmes    18/Perrine-Mrkos    19/Borrelly    20/Westphal  
 21/Giacobini-Zinner    22/Kopff    23/Brorsen-Metcalf    24/Schaumasse  
 25/Neujmin2    26/Grigg-Skjellerup    27/Crommelin    28/Neujmin1  
 29/Schwassmann-Wachmann1    30/Reinmuth1    31/Schwassmann-Wachmann2    32/ComasSola  
 33/Daniel    34/Gale    35/Herschel-Rigollet    36/Whipple  
 37/Forbes    38/Stephan-Oterma    39/Oterma    40/Vaisala1  
 41/Tuttle-Giacobini-Kresak    42/Neujmin3    43/Wolf-Harrington    44/Reinmuth2  
 45/Honda-Mrkos-Pajdusakova    46/Wirtanen    47/Ashbrook-Jackson    48/Johnson  
 49/Arend-Rigaux    50/Arend    51/Harrington    52/Harrington-Abell  
 53/VanBiesbroeck    54/deVico-Swift-NEAT    55/Tempel-Tuttle    56/Slaughter-Burnham  
 57/duToit-Neujmin-Delporte    58/Jackson-Neujmin    59/Kearns-Kwee    60/Tsuchinshan2  
 61/Shajn-Schaldach    62/Tsuchinshan1    63/Wild1    64/Swift-Gehrels  
 65/Gunn    66/duToit    67/Churyumov-Gerasimenko    68/Klemola  
 69/Taylor    70/Kojima    71/Clark    72/Denning-Fujikawa  
 73/Schwassmann-Wachmann3    74/Smirnova-Chernykh    75/Kohoutek    76/West-Kohoutek-Ikemura  
 77/Longmore    78/Gehrels2    79/duToit-Hartley    80/Peters-Hartley  
 81/Wild2    82/Gehrels3    83/Russell1    84/Giclas  
 85/Boethin    86/Wild3    87/Bus    88/Howell  
 89/Russell2    90/Gehrels1    91/Russell3    92/Sanguin  
 93/Lovas1    94/Russell4    95/Chiron    96/Machholz1  
 97/Metcalf-Brewington    98/Takamizawa    99/Kowal1    100/Hartley1  
 101/Chernykh    102/Shoemaker1    103/Hartley2    104/Kowal2  
 105/SingerBrewster    106/Schuster    107/Wilson-Harrington    108/Ciffreo  
 109/Swift-Tuttle    110/Hartley3    111/Helin-Roman-Crockett    112/Urata-Niijima  
 113/Spitaler    114/Wiseman-Skiff    115/Maury    116/Wild4  
 117/Helin-Roman-Alu1    118/Shoemaker-Levy4    119/Parker-Hartley    120/Mueller1  
 121/Shoemaker-Holt2    122/deVico    123/West-Hartley    124/Mrkos  
 125/Spacewatch    126/IRAS    127/Holt-Olmstead    128/Shoemaker-Holt1-A  
 129/Shoemaker-Levy3    130/McNaught-Hughes    131/Mueller2    132/Helin-Roman-Alu2  
 133/Elst-Pizarro    134/Kowal-Vavrova    135/Shoemaker-Levy8    136/Mueller3  
 137/Shoemaker-Levy2    138/Shoemaker-Levy7    139/Vaisala-Oterma    140/Bowell-Skiff  
 141/Machholz2-A    142/Ge-Wang    143/Kowal-Mrkos    144/Kushida  
 145/Shoemaker-Levy5    146/Shoemaker-LINEAR    147/Kushida-Muramatsu    148/Anderson-LINEAR  
 149/Mueller4    150/LONEOS    151/Helin    152/Helin-Lawrence  
 153/Ikeya-Zhang    154/Brewington    155/Shoemaker3    156/Russell-LINEAR  
 157/Tritton    158/Kowal-LINEAR    159/LONEOS    160/LINEAR  
 161/Hartley-IRAS    162/SidingSpring    163/NEAT    164/Christensen  
 165/LINEAR    166/NEAT    167/CINEOS    168/Hergenrother  
 169/NEAT    170/Christensen    171/Spahr    172/Yeung  
 173/Mueller5    174/Echeclus    175/Hergenrother    176/Linear  
 177/Barnard    178/Hug-Bell    179/Jedicke    180/NEAT  
 181/Shoemaker-Levy6    182/LONEOS    183/Korlevic-Juric    184/Lovas2  
 185/Petriew    186/Garradd    187/LINEAR    188/LINEAR-Mueller  
 189/NEAT    190/Mueller    191/McNaught    192/Shoemaker-Levy1  
 193/LINEAR-NEAT    194/LINEAR    195/Hill    196/Tichy  
 197/LINEAR    198/ODAS    199/Shoemaker4    200/Larsen  
 201/LONEOS    202/Scotti    203/Korlevic    204/LINEAR-NEAT  
 205/Giacobini    206/Barnard-Boattini    207/NEAT    208/McMillan  
 209/LINEAR    210/Christensen    211/Hill    212/NEAT  
 213/VanNess    214/LINEAR    215/NEAT    216/LINEAR  
 217/LINEAR    218/LINEAR    219/LINEAR    220/McNaught  
 221/LINEAR    222/LINEAR    223/Skiff    224/LINEAR-NEAT  
 225/LINEAR    226/Pigott-LINEAR-Kowalski    227/Catalina-LINEAR    228/LINEAR  
 229/Gibbs    230/LINEAR    231/LINEAR-NEAT    232/Hill  
 233/LaSagra    234/LINEAR    235/LINEAR    236/LINEAR  
 237/LINEAR    238/Read    239/LINEAR    240/NEAT  
 241/LINEAR    242/Spahr    243/NEAT    244/Scotti  
 245/WISE    246/NEAT    247/LINEAR    248/Gibbs  
 249/LINEAR    250/Larson    251/LINEAR    252/LINEAR  
 253/PANSTARRS    254/McNaught    255/Levy    256/LINEAR  
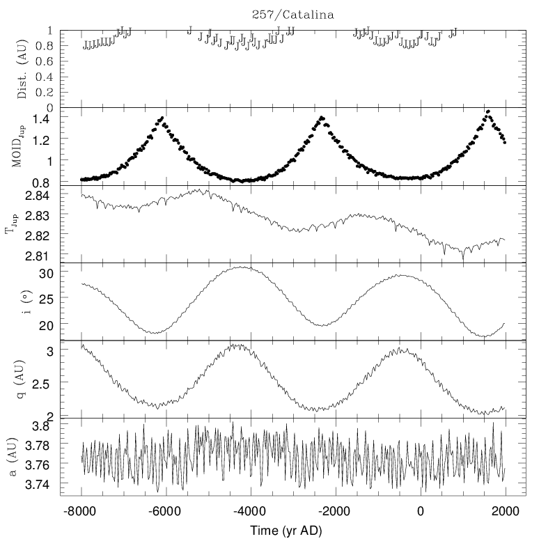
 257/Catalina    258/PANSTARRS    259/Garradd    260/McNaught  
 261/Larson    262/McNaught-Russell    263/Gibbs    264/Larsen  
 265/LINEAR    266/Christensen    267/LONEOS    268/Bernardi  
 269/Jedicke    270/Gehrels    271/vanHouten-Lemmon  
 
 1766G1(Helfenzrieder)    1770L1(Lexell)    1819W1(Blanpain)    1884O1(Barnard)  
 1886K1(Brooks)    1894F1(Denning)    1895Q1(Swift)    1918W1(Schorr)  
 1952B1(Harrington-Wilson)    1977C1(Skiff-Kosai)    1978R1(Haneda-Campos)    1993F2-A(Shoemaker-Levy9)  
 1994N2(McNaught-Hartley)    1996R2(Lagerkvist)    1997B1(Kobayashi)    1997G1(Montani)  
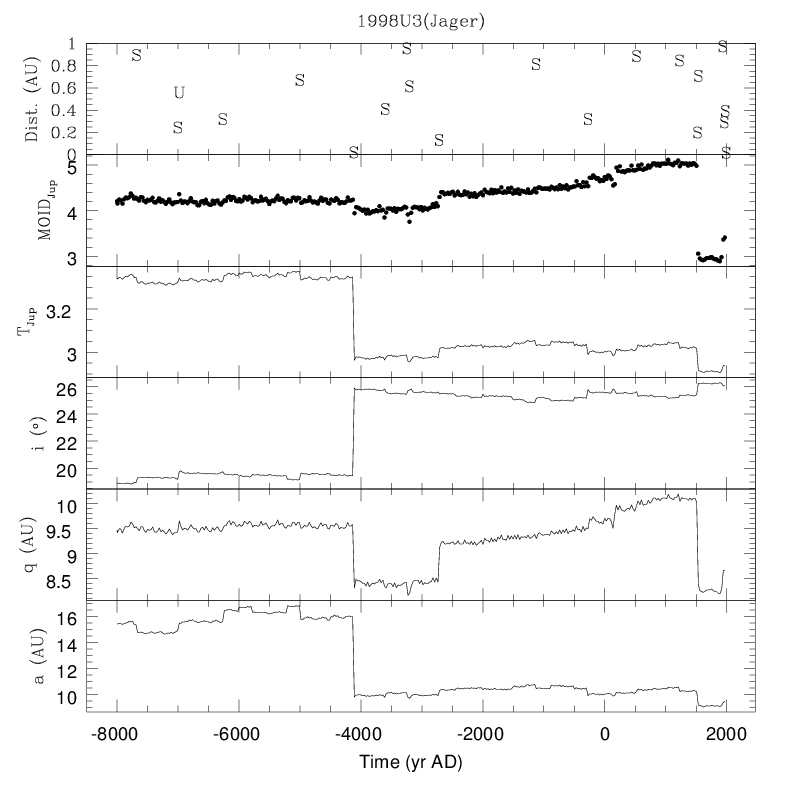
 1997T3(Lagerkvist-Carsenty)    1998QP54(LONEOS-Tucker)    1998U3(Jager)    1998VS24(LINEAR)  
 1998Y2(Li)    1999D1(Hermann)    1999J6(SOHO)    1999R1(SOHO)  
 1999RO28(LONEOS)    1999V1(Catalina)    1999XN120(Catalina)    2000QJ46(LINEAR)  
 2000R2(LINEAR)    2000S1(Skiff)    2000S4(LINEAR-Spacewatch)    2001BB50(LINEAR-NEAT)  
 2001F1(NEAT)    2001H5(NEAT)    2001Q6(NEAT)    2001Q11(NEAT)  
 2001R6(LINEAR-Skiff)    2001T3(NEAT)    2002AR2(LINEAR)    2002EJ57(LINEAR)  
 2002Q1(VanNess)    2002S7(SOHO)    2002T5(LINEAR)    2002T6(NEAT-LINEAR)  
 2003F2(NEAT)    2003L1(Scotti)    2003O3(LINEAR)    2003QX29(NEAT)  
 2003S1(NEAT)    2003SQ215(NEAT-LONEOS)    2003T12(SOHO)    2003U2(LINEAR)  
 2003U3(NEAT)    2003WC7(LINEAR-Catalina)    2004A1(LONEOS)    2004DO29(Spacewatch-LINEAR)  
 2004F1(NEAT)    2004FY140(LINEAR)    2004H2(Larsen)    2004R1(McNaught)  
 2004R3(LINEAR-NEAT)    2004T1(LINEAR-NEAT)    2004V1(Skiff)    2004V3(SidingSpring)  
 2004V5-A(LINEAR-Hill)    2004VR8(LONEOS)    2004WR9(LINEAR)    2005E1(Tubbiolo)  
 2005GF8(LONEOS)    2005JN(Spacewatch)    2005J1(McNaught)    2005JQ5(Catalina)  
 2005JD108(Catalina-NEAT)    2005L1(McNaught)    2005L4(Christensen)    2005Q4(LINEAR)  
 2005R1(NEAT)    2005RV25(LONEOS-Christensen)    2005S2(Skiff)    2005S3(Read)  
 2005SB216(LONEOS)    2005T2(Christensen)    2005T3(Read)    2005T4(SWAN)  
 2005T5(Broughton)    2005W3(Kowalski)    2005W4(SOHO)    2005XA54(LONEOS-Hill)  
 2005Y2(McNaught)    2005YQ127(LINEAR)    2006D1(Hill)    2006F1(Kowalski)  
 2006F4(Spacewatch)    2006G1(McNaught)    2006H1(McNaught)    2006HR30(SidingSpring)  
 2006K2(McNaught)    2006R1(SidingSpring)    2006R2(Christensen)    2006S1(Christensen)  
 2006S4(Christensen)    2006S6(Hill)    2006W1(Gibbs)    2006WY182(Christensen)  
 2006XG16(Spacewatch)    2007B1(Christensen)    2007C1(Christensen)    2007C2(Catalina)  
 2007H1(McNaught)    2007H3(Garradd)    2007K2(Gibbs)    2007Q2(Gilmore)  
 2007R1(Larson)    2007R2(Gibbs)    2007R3(Gibbs)    2007R4(Garradd)  
 2007S1(Zhao)    2007T2(Kowalski)    2007T4(Gibbs)    2007T6(Catalina)  
 2007V1(Larson)    2007V2(Hill)    2007VQ11(CATALINA)    2008A2(LINEAR)  
 2008CL94(Lemmon)    2008J2(Beshore)    2008J3(McNaught)    2008L2(Hill)  
 2008O2(McNaught)    2008O3(Boattini)    2008Q2(Ory)    2008QP20(LINEAR-Hill)  
 2008S1(McNaught)    2008T1(Boattini)    2008T4(Hill)    2008WZ96(LINEAR)  
 2008Y1(Boattini)    2008Y2(Gibbs)    2008Y3(McNaught)    2009B1(Boattini)  
 2009K1(Gibbs)    2009L2(Yang-Gao)    2009O3(Hill)    2009Q1(Hill)  
 2009Q4(Boattini)    2009Q5(McNaught)    2009QG31(LaSagra)    2009S2(McNaught)  
 2009SK280(Spacewatch-Hill)    2009T2(LaSagra)    2009U4(McNaught)    2009WX51(Catalina)  
 2009Y2(Kowalski)    2010A1(Hill)    2010A2(LINEAR)    2010A3(Hill)  
 2010A5(LINEAR)    2010B2(WISE)    2010C1(Scotti)    2010D1(WISE)  
 2010D2(WISE)    2010E2(Jarnac)    2010H2(Vales)    2010H4(Scotti)  
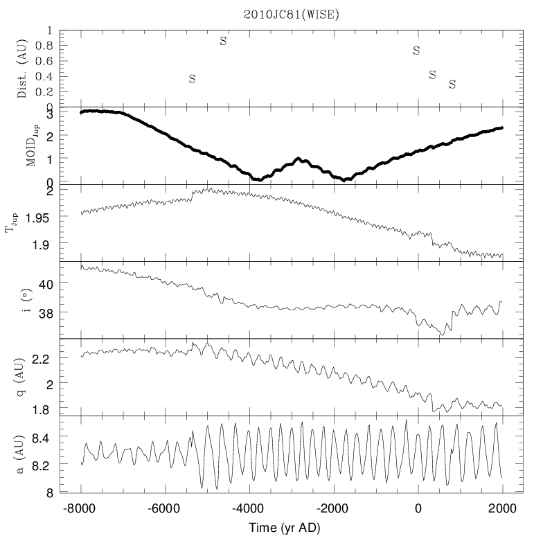
 2010H5(Scotti)    2010J3(McMillan)    2010J5(McNaught)    2010JC81(WISE)  
 2010K2(WISE)    2010N1(WISE)    2010P4(WISE)    2010R2(LaSagra)  
 2010T2(PANSTARRS)    2010TO20(LINEAR-Grauer)    2010U1(Boattini)    2010U2(Hill)  
 2010UH55(Spacewatch)    2010V1(Ikeya-Murakami)    2010WK(LINEAR)    2011A2(Scotti)  
 2011C2(Gibbs)    2011FR143(Lemmon)    2011JB15(Spacewatch-Boattini)    2011N1(ASH)  
 2011NO1(Elenin)    2011P1(McNaught)    2011Q3(McNaught)    2011R3(Novichonok)  
 2011S1(Gibbs)    2011U1(PANSTARRS)    2011U2(Bressi)    2011UA134(Spacewatch-PANSTARRS)  
 2011V1(Boattini)    2011VJ5(Lemmon)    2011W1(PANSTARRS)    2011W2(Rinner)  
 2011Y2(Boattini)    2012B1(PANSTARRS)    2012C3(PANSTARRS)    2012F2(PANSTARRS)  
 2012F5(Gibbs)    2012G1(PANSTARRS)    2012K3(Gibbs)    2012NJ(LaSagra)  
 2012O1(McNaught)    2012O2(McNaught)    2012O3(McNaught)    2012S2(LaSagra)  
 2012SB6(Lemmon)    2012T1(PANSTARRS)    2012T2(PANSTARRS)    2012T3(PANSTARRS)  
 2012T7(Vorobjov)    2012TK8(Tenagra)    2012U2(PANSTARRS)